在众多野生食用菌中,羊肚菌以其独特的风味和肉质深受食客喜爱。而近年来,科学家们发现,这种珍贵的食用菌不仅在餐桌上是一道美味,更在健康领域展现出令人惊喜的潜力——尤其是在帮助控制血糖方面。
一项2023年发表在《Folia Horticulturae》上的研究,首次系统地从一种名为“岸边羊肚菌”(Morchella fluvialis)的蘑菇中分离出多种活性成分,并发现其具有显著的α-葡萄糖苷酶抑制活性。简单来说,它就是一位潜在的“控糖高手”。Morchella fluvialis - Wikipedia
什么是α-葡萄糖苷酶?
我们吃下去的米饭、面包等碳水化合物,需要经过肠道中一种叫做“α-葡萄糖苷酶”的酶来分解,才能被身体吸收成葡萄糖。如果这个酶过于“活跃”,血糖就会迅速上升。对于糖尿病患者来说,控制这个酶的活性,就等于控制了餐后血糖的飙升。
目前临床上使用的降糖药如阿卡波糖,就是基于这个原理。而科学家一直在寻找更安全、更天然的替代品。
羊肚菌中的“控糖成分”
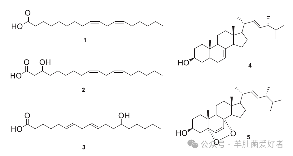
在这项研究中,研究人员从岸边羊肚菌的甲醇提取物中分离出9种化合物,包括三种脂肪酸、四种甾醇、一种糖醇和烟酰胺。其中,亚油酸(linoleic acid) 表现出最强的α-葡萄糖苷酶抑制能力,其IC₅₀值仅为14.8 μM,甚至优于常用的降糖药阿卡波糖。
此外,还有两种羟基化的脂肪酸衍生物也显示出一定的抑制效果。这些都是首次在羊肚菌中被报道。

不是“单打独斗”,而是“团队协作”
虽然亚油酸是主要的活性成分,但研究人员发现,它在羊肚菌中的含量并不算高。那为什么整个蘑菇提取物仍表现出良好的控糖效果呢?
答案在于“协同作用”。羊肚菌中除了亚油酸,还有其他多种脂肪酸和成分共同发挥作用,形成“1+1>2”的效果。这也解释了为何食用整株蘑菇可能比单独服用某一种成分更具健康价值。
不止控糖,还有抗氧化
研究还发现,羊肚菌提取物具有一定的抗氧化能力。氧化应激是糖尿病发生和发展的重要因素之一,因此,具备抗氧化能力的食物对预防和辅助治疗糖尿病同样有益。
传统食材,现代价值
羊肚菌在传统饮食中一直被视作“山珍”,而今,科学研究正一步步揭开它作为“功能食品”的面纱。它不再是餐桌上的“奢侈品”,更是潜在的健康“守护者”。
当然,研究人员也强调,目前的研究仍处于初级阶段,羊肚菌并不能替代药物。但它作为一种天然、安全的膳食补充,非常适合纳入日常饮食,尤其适合血糖偏高或有糖尿病风险的人群。
结语
岸边羊肚菌,这个长在自然怀抱中的“黑帽精灵”,不仅以鲜美征服味蕾,更以科学的姿态走进健康领域。未来,随着更多研究的深入,我们或许能在餐桌上,轻松吃出健康与安心。
参考文献:Turk A, Lee S, Lee H H, et al. α-Glucosidase inhibitory fatty acids from Morchella fluvialis mushroom[J]. Folia Horticulturae, 2023, 35(2): 369-379.













