近日,北京林业大学员瑗和戴玉成团队揭示了天麻微生物组及其与次生代谢物的关系。研究首次探讨了天麻内生菌与次生代谢产物(如天麻素和天麻素)之间的关系。研究结果表明,一些优势内生细菌(如弧菌属和链球菌属)与次生代谢产物和生物量呈显著正相关,表明内生菌在天麻活性成分的积累中可能发挥着重要作用。该研究结果为指导天麻微生物组的管理提供了重要的信息。通过了解天麻微生物组的组成、功能和与宿主相互作用,我们可以开发出基于微生物组的策略来优化栽培条件,提高天麻的产量和质量。研究成果发表在经济作物科学领域TOP期刊 Industrial Crops & Products (IF:5.6)。

植物微生物组在植物生长发育、胁迫响应和次生代谢产物积累中发挥着重要作用。Gastrodia elata 是一种具有药用价值的菌异养兰科植物。G. elata 与微生物之间似乎存在密切而复杂的关系,但目前对这种关系的了解仍然不足。本研究分析了在两种不同栽培模式下 G. elata 生长过程中内生细菌和真菌群落的动态变化,并进一步利用宏基因组学技术表征了其根际微生物组。此外,还初步探讨了 G. elata 内生菌与次生代谢产物之间的关系。结果表明,植物生长阶段对多种微生物属性(α多样性、群落组成和潜在功能、决定性/随机性过程和共发生网络)的影响远大于栽培模式。宏基因组学分析表明,G. elata 的栽培过程显著改变了土壤微生物的组成和功能,微生物物种和功能多样性与土壤 pH 值和养分密切相关。此外,相关性分析表明,G. elata 块茎的次生代谢产物(例如,天麻素和天麻素)和生物量与属于链球菌属、弧菌属和“未培养的”(乳杆菌目)的几种内生细菌类群显著正相关。总之,我们的研究结果系统地揭示了与 G. elata 相关的微生物组的组成和潜在功能。本研究为指导 G. elata 的微生物分离和培养提供了宝贵的信息,并促进了 G. elata 及其他兰科植物的可持续发展。

前言
兰科植物是一个多样化且广泛分布的开花植物科。许多兰科植物被栽培、收获和交易,用于各种用途,例如观赏植物、食品和药用产品。天麻 (Gastrodia elata) 是一种主要分布于亚洲的珍贵腐生多年生兰科植物,在传统中医中已有 2000 多年的应用历史。现代药理学研究已证明天麻的生物活性成分(例如,天麻素、天麻素)具有神经保护、心脏保护、改善学习和记忆等作用。由于长期采集和人类活动造成的栖息地破坏,野生天麻已成为一种脆弱的植物,被列入《濒危野生动植物种国际贸易公约》的红色名录物种。20 世纪 70 年代,周某发现了天麻与蜜环菌属 (Mycena) 和蜜环菌属 (Armillaria) 真菌之间的共生关系,这随后促进了天麻的有性繁殖和人工栽培。天麻通过蜜环菌间接吸收木材中的养分,不依赖化肥和农药的使用,因此被认为是有机草药的来源。目前,天麻作为重要的药用作物,在许多亚洲国家,尤其是在中国和韩国得到广泛种植和利用。
随着高通量测序和微生物组技术的进步,许多植物的微生物组已被解析。基于模式植物 (拟南芥) 和主要作物 的研究极大地提高了我们对植物微生物组多样性、组成和功能特征的理解。大量的、高度多样化的微生物群落定殖于植物的不同部位,并在促进植物生长、养分吸收和抗病性方面发挥着重要作用。此外,一些微生物产生的化学物质会影响宿主植物次生代谢产物的合成和积累,也可能是植物药用成分的重要来源。作为一种典型的完全菌异养兰科植物,天麻的生长发育与微生物联系更为密切。更好地了解天麻微生物组组成和功能的概况,对于开发基于微生物组的可持续天麻生产系统至关重要。
植物微生物组的组装从播种后不久就开始,并在植物在宿主和环境因素的影响下生长过程中发展。在天麻生产中,天麻通常在春季使用三元套作系统(即木材、蜜环菌和天麻幼苗块茎)进行播种,并在冬季或次年春季收获。一些研究已经利用依赖培养和高通量测序技术对天麻微生物组进行了表征。例如,陈等人 (2019) 利用内部转录间隔区 (ITS) 扩增子测序技术,关注了与天麻萌发和早期生长相关的真菌群落。Khan 等人 (2024) 利用培养和 16S rDNA 和 ITS 扩增子测序技术分析了天麻不同生长阶段根际细菌和真菌群落的动态特征。然而,天麻块茎内生微生物组物种和潜在功能的动态变化知之甚少。此外,与许多药用植物一样,连作问题是天麻可持续生产的主要制约因素。土壤微生物群落结构和理化性质的改变是连作造成的主要问题。一些基于扩增子数据的研究所表明,天麻的连作过程提高了根际微生物群落的丰富度和多样性,其组成和潜在功能也发生了显著变化。与扩增子数据相比,宏基因组数据可以解析微生物群落的组成(物种或菌株水平)和功能多样性(包括真核和原核微生物以及病毒)。有必要利用分辨率更高的宏基因组测序技术对与天麻相关的土壤微生物组进行全面表征,以探索连作问题的微生物机制。
植物次生代谢产物具有多种生态功能和药理活性。对于药用植物来说,人们更关注其生物活性成分的含量,这决定了其药效和经济价值。微生物在植物次生代谢产物调控中的作用已得到广泛认可。与药用模式植物丹参相关的微生物组可以参与丹参酮的代谢途径并增加其生物量。蒙古黄芪的内生细菌与次生代谢产物的积累密切相关,接种内生细菌(芽孢杆菌)可以促进次生代谢产物的积累和植物生长。然而,对天麻微生物组与其次生代谢产物之间关系的理解极其有限。
天麻与微生物之间的关系复杂且知之甚少。因此,本研究旨在更好地理解:(1) 天麻生长过程中内生群落的动态变化;(2) 天麻周围土壤微生物组的组成和功能多样性;(3) 天麻内生菌与次生代谢产物之间的关系。近年来,仿野生栽培中药材受到中国地方政府的推广,并因其生态友好、产品质量高和经济效益显著等独特优势而受到消费者的青睐。同样,仿野生栽培也被广泛应用于天麻的主要产区,尤其是在森林资源丰富的中国西南部。然而,在实践中,连作和林地有限等问题导致人们考虑某些设施栽培技术(例如营养钵栽培)作为中药材可持续发展的可行方案。因此,本研究的另一个重点是表征不同栽培模式下天麻的微生物组。总的来说,本研究为利用微生物组改善天麻生长微环境,提高其药用质量和生产力提供了宝贵的信息。
结果与分析
3.1. 内生菌群多样性和群落组成
如图2a所示,细菌和真菌的α多样性指数(Chao1丰富度和Shannon多样性)在两种栽培模式下均表现出相似的变化,分别在快速生长期和近成熟期发生显著变化。在Gastrodia elata所有生长期中,变形菌门和厚壁菌门是主要的细菌门(相对丰度达90%),而子囊菌门和担子菌门是主要的真菌门(67.3%)(图2b)。在属水平上,假单胞菌属(20.9%)、弧菌属(17.5%)和假交替单胞菌属(12.7%)是主要的细菌属(表S2);曲霉属(10.0%)、马拉色菌属(7.7%)和枝孢属(6.2%)是主要的真菌属(表S3)。细菌和真菌群落的组成随植物生长发生明显变化。PCoA结果显示,细菌群落是根据生长期而不是栽培模式进行聚类的,PCo1和PCo2解释了45.1%的原始变量(图2c)。真菌群落之间存在轻微的分离,解释度仅为16.7%。验证结果表明,生长期是导致细菌群落差异的主要因素(Adonis检验:R²=0.608,P=0.001;Anosim检验:R=0.846,P=0.001)(表S2)。真菌群落之间的变异较小(Anosim,R=0.322,P=0.001),生长期和栽培模式都不是造成这种变异的主要因素(Adonis检验:R²=0.127,P=0.001)。维恩图显示了在不同生长期和栽培模式下Gastrodia elata块茎中共享和独特的细菌和真菌ASV数量(图S1)。在相同生长期内,细菌和真菌群落中共享的ASV数量更多。此外,LEfSe分析结果(所有LDA值>4)显示,差异细菌属(生物标志物)为:假单胞菌属(生长期1)、弧菌属(生长期2)、假交替单胞菌属(生长期3)、中华根瘤菌属(生长期4)以及链球菌属和气单胞菌属(生长期5)(图S2);差异真菌属(生物标志物)为:凯斯勒菌属和层孔菌属(生长期1)、马拉色菌属和枝孢属(生长期2)、马拉色菌目未定属(生长期3)、嗜热子囊菌属和伊柳氏菌属(生长期4)以及优盘菌属、念珠菌属和丝孢菌属(生长期5)(图S3)。总的来说,Gastrodia elata的生长期对细菌和真菌多样性和群落组成的影响大于栽培模式。

3.2. 细菌和真菌群落的组成
首先使用最大似然法构建系统发育树,然后构建细菌和真菌的零模型(999次随机化)。图3显示了在不同生长期和栽培模式下,决定性(|βNTI|≥2)和随机性(|βNTI|<2)过程对Gastrodia elata菌群组装的相对贡献。我们的结果表明,菌群组装过程受生长期影响很大,特别是对于细菌群落而言。在细菌群落的组装中,决定性过程在植物的预发育期占主导地位,而随机性过程在后期发育期占主导地位。真菌群落的组装在Gastrodia elata的整个生长期中主要由随机过程主导,但在“仿野生栽培”(IWC)模式下略高于“营养钵栽培”(NBC)模式(84%对71%)。在幼苗期,细菌群落中观察到主要属于异质选择的决定性过程(76.2%),而真菌群落中所有随机过程(96.2%)都属于未被支配的。在Gastrodia elata和蜜环菌形成共生关系后,细菌群落中从决定性过程转变为随机过程,到快速生长期时,完全由随机过程主导(100%,主要属于未被支配的和扩散限制)。对于真菌群落,异质选择的相对贡献在相同的Gastrodia elata生长期内逐渐增加。从近成熟期到成熟期,细菌群落中的决定性过程(异质选择和同质选择)逐渐再次增加。相反,真菌群落中同质选择的相对贡献减少,随机过程增加。总的来说,决定性过程对Gastrodia elata细菌群落早期阶段的影响更大,而随机过程则影响整个生长期中的真菌群落。栽培模式对真菌群落组装过程的影响大于细菌群落。

3.3. 微生物共现网络的时间动态
进行共现网络分析以进一步评估生长期和栽培模式对Gastrodia elata微生物相互作用的影响。选择相对丰度大于0.05%的ASV构建细菌、真菌和细菌-真菌界间网络(图4)。细菌和真菌网络的拓扑参数分别如表S5和S6所示。结果表明,细菌和真菌类群在细菌-真菌界间网络中扮演着不同的角色,细菌网络的网络连通性和复杂性(平均度和网络密度)高于真菌网络。微生物共现网络在不同生长期中发生了明显的变化,而在两种栽培模式下则表现出相似的网络模式。具体来说,在细菌-真菌界间网络中,细菌和真菌类群的节点数量相似,但连接细菌的边数远大于真菌。值得注意的是,连接细菌和真菌的边数极少,这表明真菌和细菌类群之间的相互作用稀疏。此外,细菌网络中负相关的连接较少,而真菌网络中的所有连接都是正相关的。网络的可视化和属性表明,细菌和真菌网络主要受生长期影响,尤其是在建立共生和近成熟期,网络的平均度和平均聚类系数值明显增加。至于不同的栽培模式,微生物网络具有相似的网络属性值和可视化网络图。但在“仿野生栽培”(IWC)模式下,网络节点的物种多样性更丰富,分类组成中“其他”类群的比例也高于“营养钵栽培”(NBC)模式。这可能表明种植穴中的Gastrodia elata块茎比相对封闭的系统(如营养钵)更容易获得并与更广泛的微生物类群相互作用。

3.4. 内生菌群潜在功能的预测
分别使用16SrRNA和ITS扩增子测序数据对Gastrodia elata块茎内生细菌和真菌群落进行功能预测。图S4显示了基于MetaCyc数据库的细菌和真菌群落的功能组成。在L1功能水平上,生物合成是主要功能(超过60%),其次是降解/利用/同化(约10%)和前体代谢物和能量的产生(约10%)。至于真菌群落,生物合成(约40%)和前体代谢物和能量的产生(约30%)是主要功能。在L2功能水平上,细菌功能组成中辅因子、辅基、电子载体和维生素生物合成、氨基酸生物合成以及核苷和核苷酸生物合成的相对丰度达到40%。在真菌群落中,核苷和核苷酸生物合成、电子转移和呼吸作用占主导地位(相对丰度均约为10%)。统计结果表明,总体而言,细菌和真菌群落的主要功能在两种栽培模式之间差异较小,而在不同生长期之间存在显著差异。值得注意的是,在植物生长过程中,细菌群落的功能组成变化大于真菌群落。
3.5. 土壤微生物群落的组成和功能多样性
总的土壤微生物组成包括细菌(89.09%)、古菌(1.41%)、真核生物(0.23%)、病毒(<0.01%)和未分类的微生物(9.27%)。其中,酸杆菌门(40%)、变形菌门(约30%)和放线菌门(约10%)占主导地位;嗜酸铁细菌属、慢生根瘤菌属、硫代沼泽细菌属和Palsa-504是所有土壤样品中的主要属(约30%)(图S5a和S6)。与扩增子相比,宏基因组测序可以更准确地在物种水平上鉴定微生物。在Gastrodia elata块茎周围土壤中相对丰度最高的三个物种是Palsa-360sp003161495s、Gp1-AA133sp003225465s和Palsa-504sp003140115(图S5a)。物种α多样性分析显示,四个组之间Chao1丰富度没有显著差异,而DS组的Shannon多样性显著高于CK组(图S5b)。维恩图结果显示,大多数微生物物种是共享的(17952个),只有少数是独特的物种(约几百个)(图S5c)。PCoA结果显示,PCo1和PCo2的解释变量为68.8%,不同组的样本点有明显的区分,尤其是在对照组CK中(图S5d)。LEfSe分析显示,BS组与其他组之间没有差异物种,DS组和LS组分别只有一个差异物种(相对丰度),分别为脱氮菌属和CAIMXF01sp013289985。CK组中有几个差异微生物类群,例如Palsa 465、Bog209和UBA9676属(图S5e)。
基于KEGG直系同源物(KO)数据库的功能组成表明,代谢途径的相对丰度最高(约80%),其次是遗传信息处理(约10%)(图S7)。在代谢途径中,氨基酸代谢、碳水化合物代谢、辅因子和维生素代谢以及异生素生物降解和代谢占相对较高的比例(超过50%)(图5a)。EggNOG注释结果显示,代谢是主要功能(C、E、I、P类),并且有一些功能特征不明确(S类,超过10%)(图S7)。而在碳水化合物活性酶(CAZymes)组成中,糖苷水解酶(GH)和糖苷转移酶(GT)占相对丰度最高(约70%)。基于三个不同的数据库,PCoA和维恩图分析的功能组成与分类组成遵循相似的模式。CK组与其他组之间存在明显的区分,大多数功能单元在不同组之间是共享的(图S7)。
各组的功能多样性没有显著差异(图5c)。热图显示,各种功能,例如细胞运动,在Gastrodia elata周围的土壤中富集(图5d)。差异丰度分析表明,根际土壤微生物群落的一些功能性状(基于KEGG)显著高于未种植Gastrodia elata的土壤,例如辅因子和维生素代谢、氨基酸代谢和细胞运动(表S7)。此外,一些CAZymes的丰度在种植Gastrodia elata后发生了显著变化,例如辅助活性(AA10)和糖苷转移酶(GT7、GT8)增加,而糖苷水解酶(GH33)和碳水化合物结合模块(CBM60)减少。为了比较Gastrodia elata不同生态位中微生物的功能组成,MetaCyc数据库也用于宏基因组测序数据的功能注释(图S8)。内生细菌功能与土壤微生物相似,生物合成(约60%)、降解/利用/同化(约10%)和前体代谢物和能量的产生(约10%)是主要的功能组成;生物合成(约40%)和前体代谢物和能量的产生(约30%)是真菌群落的主要功能。

3.6. 土壤理化性质对土壤微生物群落的影响
土壤理化性质如表S8所示。种植Gastrodia elata后,土壤pH值显著增加,AK、TP和AP等养分也增加。值得注意的是,只有pH值在块茎土壤和CK土壤之间存在显著差异。进行RDA分析以探讨土壤理化性质对土壤微生物分类(门水平,前50个)和功能(KEGG 2级,前34个)组成的影响。在RDA排序图中,RDA1和RDA2对分类组成和功能组成的解释率分别为57.05%和66.94%(图S9a)。对于单个土壤因素,只有有效磷对分类组成有显著影响(R²=0.52,P=0.038)。Mantel检验结果显示,总体而言,土壤特性与土壤微生物的分类和功能组成之间没有显著相关性(图S9b),但全钾与功能组成之间存在显著相关性(R=0.57,P<0.01)。此外,Spearman相关分析表明,pH与物种Shannon多样性指数呈负相关(R=-0.78,P<0.05),而功能多样性(KO、Ogs和CAZymes)与pH、有效磷、有效钾和全钾呈负相关(P<0.05)(表S9)。
3.7. 内生菌与次生代谢产物的相关性分析
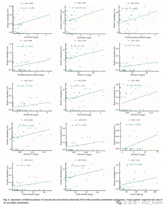
统计结果显示,NBC-5组(营养钵栽培)中Gastrodin、Parishin B、Parishin C和Parishin A的含量显著高于IWC-5组(仿野生栽培)(表S10),表明在营养钵中栽培的葛根质量优于在森林种植孔中栽培的葛根。为了深入了解葛根块茎中内生菌与次生代谢产物之间的关系,我们使用Spearman相关性分析法分析了细菌和真菌ASVs(相对丰度>0.1%)与六种化合物之间的关系。此外,还分析了六种化合物的总含量和块茎鲜重与内生菌之间的相关性。共有12个细菌ASVs和5个真菌ASVs与次生代谢产物或生物量呈显著相关(P<0.05),|R|值约为0.40。其中5个细菌ASVs与次生代谢产物呈负相关,它们分别属于芽孢杆菌属(Bacillus)、葡萄球菌属(Staphylococcus)、气单胞菌属(Aeromonas)、乳球菌属(Lactococcus)和埃希氏-志贺氏菌属(Escherichia-Shigella)。次生代谢产物与细菌ASVs之间的正相关关系在线性回归图中显示(图6)。有趣的是,ASV_14111(弧菌属,Vibrio)和ASV_19914(乳杆菌目,未培养的,Lactobacillales)与多种成分(Gastrodin、Parishin B、Parishin C和Parishin)以及生物量均呈一致且显著的正相关,表明它们可能在促进次生代谢产物积累和植物生长方面发挥作用。对于内生真菌,五个ASVs与成分呈负相关,这些ASVs的分类未知(真菌未分类,Fungi incertae sedis)。

结论
通过研究两种栽培模式下天麻块茎细菌和真菌群落的动态变化,本研究系统地了解了天麻微生物组在生长过程中的组成和潜在功能的演替。结果表明,天麻与多种细菌和真菌相关,植物生长阶段对多种微生物属性(α多样性、群落组成、决定性/随机性过程和共发生网络)的影响远大于栽培方式。此外,细菌和真菌群落的潜在功能随着植物生长而明显变化,细菌群落中生物合成功能占主导地位,而真菌群落中生物合成和前体代谢物和能量产生功能是主要功能。这些结果表明,宿主天麻对植物生长过程中内生微生物组的组成和潜在功能具有强大的选择性调控作用。本研究首次利用宏基因组测序技术分析了天麻周围土壤的微生物组成和功能多样性,并探讨了天麻内生菌与次生代谢产物之间的关系。天麻的种植过程改变了土壤理化性质和根际微生物群落结构。我们进一步发现,块茎中一些优势内生细菌(弧菌属、链球菌属等)与次生代谢产物和生物量呈显著正相关;它们似乎在天麻活性成分积累中起着关键作用。总之,我们的研究结果系统地揭示了天麻微生物组的组成和潜在功能,以及内生菌对天麻质量的影响。结果为指导天麻微生物的分离和培养提供了宝贵的信息,并将有助于促进天麻及其他兰科植物的可持续发展。
来源:分子生药创新团队













